Biomod/2012/Tianjin/Result/LogicGate: Difference between revisions
No edit summary |
|||
| Line 97: | Line 97: | ||
In the previous section, we have demonstrated the Cu<sup>2+</sup> activated self-cleavage can work in our new design. So the second question emerged: can this structure lock 8-17 when only Pb<sup>2+</sup> is present? | In the previous section, we have demonstrated the Cu<sup>2+</sup> activated self-cleavage can work in our new design. So the second question emerged: can this structure lock 8-17 when only Pb<sup>2+</sup> is present? | ||
We compared the results of adding only Pb<sup>2+</sup> with adding Pb<sup>2+</sup> and Cu<sup>2+</sup> into the system, and test how many reporter left after reaction. The system with only Pb2+ is shown in the left column, and with both ions in the right column in Figure X. A band is the original design, B band is the reporter. We can see B in left column are much whiter than right. This demonstrated the tightness of our design. | We compared the results of adding only Pb<sup>2+</sup> with adding Pb<sup>2+</sup> and Cu<sup>2+</sup> into the system, and test how many reporter left after reaction. The system with only Pb2+ is shown in the left column, and with both ions in the right column in Figure X. A band is the original design, B band is the reporter. We can see B in left column are much whiter than right. This demonstrated the tightness of our design. | ||
[[Image:]] | [[Image:TJU2012-BMD-9.png|thumb|500px|center|'''Figure 9.''' The comparison between logic gate function under different conditions. Lane 1: Cu<sup>2+<sup> and Pb<sup>2+</sup>; lane 2: only Pb<sup>2+</sup>. [logic gate], [substrate]=5μM, [Cu<sup>2+</sup>], [VC]=100μM, [Pb<sup>2+</sup>]=1μM. (From BIOMOD Team Tianjin 2012.)]] | ||
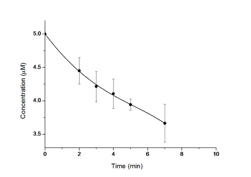
As for the system, we want to know when the device can detect the concentration change, so we collected the date for this figure. From figure X, we can also see with only Pb<sup>2+</sup>, the reporter concentration remains the same. But with Pb<sup>2+</sup> and Cu<sup>2+</sup>, the concentration dropped rapidly in the first two minutes. Because there is only one data in the first three minutes, we set to measure the precise concentration change. We conducted further experiment to gain more accurate results in the first three minutes. | As for the system, we want to know when the device can detect the concentration change, so we collected the date for this figure. From figure X, we can also see with only Pb<sup>2+</sup>, the reporter concentration remains the same. But with Pb<sup>2+</sup> and Cu<sup>2+</sup>, the concentration dropped rapidly in the first two minutes. Because there is only one data in the first three minutes, we set to measure the precise concentration change. We conducted further experiment to gain more accurate results in the first three minutes. | ||
[[Image:]] | [[Image:TJU2012-BMD-10.png|thumb|500px|center|'''Figure 10.''' The working curve of logic gate function under different conditions. Black line: reaction with Cu<sup>2+</sup>, VC, and Pb<sup>2+</sup>; Red line: reaction with only Pb<sup>2+</sup>. [logic gate], [substrate]=5μM, [Cu<sup>2+</sup>], [VC]=100μM, [Pb<sup>2+</sup>]=1μM. (From BIOMOD Team Tianjin 2012.)]] | ||
Since we’ve answered all the questions about whether our design will work, we set out to characterize more of its properties under different circumstances. | Since we’ve answered all the questions about whether our design will work, we set out to characterize more of its properties under different circumstances. | ||
Next, we characterized the self-cleavage in the same period with different temperature. As we predicted, the self-cleavage speed increased with growing temperature. But the difference is not so significant, so we assume the self-cleavage is not very sensitive to temperature. Therefore, our design can work across a wide range under room temperature. | |||
[[Image:TJU2012-BMD-11.png|thumb|500px|center|'''Figure 11.''' The relation of self-cleavage and temperature. [logic gate], [substrate]=5μM, [Cu2+], [VC]=100μM, reaction time=10min. (From BIOMOD Team Tianjin 2012.)]] | |||
Next, in Figure X, is the logic gate concentration change under different Cu<sup>2+</sup> concentration. This shows even when we decrease the Cu<sup>2+</sup> concentration, our design still works quite well. | Next, in Figure X, is the logic gate concentration change under different Cu<sup>2+</sup> concentration. This shows even when we decrease the Cu<sup>2+</sup> concentration, our design still works quite well. | ||
[[Image:TJU2012-BMD-12.png|thumb|500px|center|'''Figure 12.''' The relation of self-cleavage and the concentration of Cu<sup>2+</sup> and vitamin C. [logic gate]=5μM; : [Cu<sup>2+</sup>], [VC]=100μM; : [Cu<sup>2+</sup>], [VC]=10μM. (From BIOMOD Team Tianjin 2012.)]] | |||
We are also interested in the Pb<sup>2+</sup> concentration’s influence on reporter cleavage. In Figure X, reporter change under two concentrations are investigated. When Pb<sup>2+</sup> is 1μM, reporter concentration dropped rapidly in the first two minutes and turned slowly later. When Pb<sup>2+</sup> is 10nM, the concentration slowly decreased. Their main difference is the first two minutes of catalysis. | We are also interested in the Pb<sup>2+</sup> concentration’s influence on reporter cleavage. In Figure X, reporter change under two concentrations are investigated. When Pb<sup>2+</sup> is 1μM, reporter concentration dropped rapidly in the first two minutes and turned slowly later. When Pb<sup>2+</sup> is 10nM, the concentration slowly decreased. Their main difference is the first two minutes of catalysis. | ||
[[Image:]] | [[Image:TJU2012-BMD-13.png|thumb|500px|center|'''Figure 13.''' The kinetics of substrate cleavage with different Pb<sup>2+</sup> concentration. [logic gate], [substrate]=5μM, Black line: [Cu<sup>2+</sup>], [VC]=100μM; Red line: [Cu<sup>2+</sup>], [VC]=10μM. (From BIOMOD Team Tianjin 2012.)]] | ||
==Module 2== | ==Module 2== | ||
Revision as of 23:55, 27 October 2012
<html> <style> /* Back to top css */ .back-to {
position: fixed; bottom: 35px; *bottom: 50px; _bottom: 35px; right: 10px; z-index: 999; width: 50px; zoom: 1 }
- html .back-to {
/* 不能用 _position 这种写法,因为它在IE7+也会执行expression。。。 */
position: expression(function(ele){ele.runtimeStyle.position='absolute';Expressions.style.position.fixed(ele);}(this))
}
.back-to {
float: right; display: block; width: 50px; height: 50px; background: url(http://a.xnimg.cn/imgpro/button/back-home.png) no-repeat 0 0; outline: 0 none; text-indent: -9999em;
}
.back-to:hover {
background-position: -50px 0 }
.back-to .back-top {
float: right; display: block; width: 50px; height: 50px; background: url(http://a.xnimg.cn/imgpro/button/back-top.png) no-repeat 0 0; margin-left: 10px; outline: 0 none; text-indent: -9999em }
.back-to .backtotop {
float: left; display: block; width: 50px; height: 50px; background: #666 url(http://a.xnimg.cn/imgpro/arrow/btt.png) 8px -57px no-repeat; margin-bottom: 15px; outline: 0 none; text-indent: -9999em; -moz-border-radius: 4px; -khtml-border-radius: 4px; -webkit-border-radius: 4px; border-radius: 4px; position: relative -moz-box-shadow: 0px 0px 15px #ccc; -webkit-box-shadow: 0px 0px 15px #ccc; box-shadow: 0px 0px 15px #ccc; }
.back-to .backtotop:hover {
background-color: #333; background-position: 8px 13px }
.back-to .backtotop .back-tip {
position: absolute; visibility: hidden; top: -31px; left: -10px }
.back-to .backtotop:hover .back-tip {
visibility: visible }
.back-to .back-top:hover {
background-position: -50px 0 }
/* changed default background */
.container{background-color: #ffffff; margin-top:0px}
- column-content {width: 0px; float: left; margin: 0 0 0 0;padding: 0;}
.firstHeading {display:none; width:0px;}
- column-one {display:none; width:0px;background-color: #ffffff;}
- globalWrapper{width: 970px; background-color: #ffffff; margin-left: auto; margin-right: auto;
-moz-box-shadow: 0px 0px 15px #ccc; -webkit-box-shadow: 0px 0px 15px #ccc; box-shadow: 0px 0px 15px #ccc;}
- content{ margin: 0 0 0 0; align: center; padding: 12px 12px 12px 12px; width: 940px;background-color: #ffffff; border: 0;}
- bodyContent{ width: 940px; align: center; background-color: #ffffff;}
- column-content{width: 970px;background-color: #ffffff;}
body { background: url(http://openwetware.org/images/1/13/TJU2012-Bg.gif) repeat-x #F9F9F7; }
/* basic link rules */
a:link {
color: #4F6DDC;
}
a:visited {
color: #4F6DDC;
}
a:hover {
color: #4F6DDC;
text-decoration: none;
}
/* -- navigator css -- */
- navDiv ul { margin: 0; padding: 0;}
- navDiv li { margin: 0; padding: 0;}
- navDiv a { margin: 0; padding: 0;}
- navDiv ul {list-style: none; z-index:999;}
- navDiv a {text-decoration: none;}
- navDiv
{ position: relative; height: 40px; width:970px; left: -12px; top: 0px; background-color: #111; background-repeat: repeat-x; box-shadow: 0px 5px 8px rgba(0,0,0,0.4); margin-bottom:20px; }
- navDiv > ul > li {
float: left; margin-left: 38px; position: relative;
}
- navDiv > ul > li > a {
color: #aaa; font-family: Verdana, 'Lucida Grande'; font-size: 15px; line-height: 40px; padding: 11px 20px;
-webkit-transition: color .15s;
-moz-transition: color .15s;
-o-transition: color .15s;
transition: color .15s;
}
- navDiv > ul > li > a:hover {color: #333333; background-color: #FFFFFF;}
- navDiv > ul > li > ul
{
opacity: 0; visibility: hidden; padding: 16px 0 20px 0; background-color: rgb(250,250,250); text-align: left; position: absolute; top: 30px; left: 50%; margin-left: -90px; width: 180px;
-webkit-transition: all .3s .1s;
-moz-transition: all .3s .1s;
-o-transition: all .3s .1s;
transition: all .3s .1s;
-webkit-border-radius: 5px;
-moz-border-radius: 5px;
border-radius: 5px;
-webkit-box-shadow: 0px 1px 3px rgba(0,0,0,.4);
-moz-box-shadow: 0px 1px 3px rgba(0,0,0,.4);
box-shadow: 0px 1px 3px rgba(0,0,0,.4);
}
- navDiv > ul > li:hover > ul
{
opacity: 1; top: 40px; visibility: visible;
}
- navDiv > ul > li > ul:before
{
content: ; display: block; border-color: transparent transparent rgb(250,250,250) transparent; border-style: solid; border-width: 10px; position: absolute; top: -20px; left: 50%; margin-left: -10px;
}
- navDiv > ul ul > li { position: relative;}
- navDiv ul ul a
{
color: rgb(50,50,50); font-family: Verdana, 'Lucida Grande'; font-size: 13px; background-color: rgb(250,250,250); padding: 5px 8px 7px 16px; display: block;
-webkit-transition: background-color .1s;
-moz-transition: background-color .1s;
-o-transition: background-color .1s;
transition: background-color .1s;
}
- navDiv ul ul a:hover {background-color: rgb(240,240,240);}
- navDiv ul ul ul
{
visibility: hidden; opacity: 0; position: absolute; top: -16px; left: 206px; padding: 16px 0 20px 0; background-color: rgb(250,250,250); text-align: left; width: 160px;
-webkit-transition: all .3s;
-moz-transition: all .3s;
-o-transition: all .3s;
transition: all .3s;
-webkit-border-radius: 5px;
-moz-border-radius: 5px;
border-radius: 5px;
-webkit-box-shadow: 0px 1px 3px rgba(0,0,0,.4);
-moz-box-shadow: 0px 1px 3px rgba(0,0,0,.4);
box-shadow: 0px 1px 3px rgba(0,0,0,.4);
}
- navDiv ul ul > li:hover > ul { opacity: 1; left: 196px; visibility: visible;}
- navDiv ul ul a:hover
{
background-color: #777777; color: rgb(240,240,240);
}
/* Abstract in pages css */
- tianjin-right-content {
float: right; width: 280px; margin-left: 20px; font-family:"Calibri"; font-size:120%; }
- tianjin-right-content ul {
margin: 0; padding: 0 1em; }
- tianjin-right-content ul li {
list-style: none; margin: 0 0 1em 0; } .tianjin-description { font-size: small; color: #8A8A8A; }
/* Text content css*/
- text-content {
width:620px; font-family:"Calibri"; font-size:120%; padding: 10px 10px 10px 10px; }
/* footer in the middle */
- footer{position: center; width: 970px;}
</style>
<a href="http://openwetware.org/wiki/Biomod/2012/Tianjin"><img src ="http://openwetware.org/images/7/79/TJU2012-Header.png"></a>
<form method="GET" action="http://www.google.com/search"> <input type="hidden" name="hl" value="en"> <input type="hidden" name="sitesearch" value="openwetware.org"> <input type="hidden" name="domains" value="openwetware.org"> <input type="hidden" name="as_epq" value="Tianjin"> <input type="text" name="q" class="frm"><input type="submit" class="btn" value="Search"> </form>
<a stats="site_footer_back_to_top" class="backtotop" href="#top" onclick="if(Sizzle('#sidebar2 .ready-to-fix')[0]) Sizzle('#sidebar2 .ready-to-fix')[0].style.position = 'static';window.scrollTo(0,0);if(Sizzle('#sidebar2 .ready-to-fix')[0]) Sizzle('#sidebar2 .ready-to-fix')[0].style.position = ;return false;">Back to top <img stats="site_footer_back_to_top" src="http://openwetware.org/images/a/a7/TJU2012-Back-tip.png" class="back-tip"> </a>
</html>
<html>
<style>
- frametext {
font-family:Cambria,Calibri; font-size:140%; line-height:140%; float:left; width:310px; }
- toc {
width:260px; margin-right:10px; } .tocbefore { position:absolute; right:0px; }
.tocafter { position:fixed; top:30px; right:195px; }
</style>
<script type="text/javascript"> function getScrollTop() {
var scrollPos;
if (window.pageYOffset) {
scrollPos = window.pageYOffset;
}
else if (document.compatMode) {
if(document.compatMode != 'BackCompat')
{
scrollPos = document.documentElement.scrollTop;
}
else if (document.body)
{
scrollPos = document.body.scrollTop;
}
}
if(scrollPos < 760){
document.getElementById("toc").className="tocbefore"; } else{ document.getElementById("toc").className="tocafter"; } } window.onscroll=getScrollTop; </script>
- <a href="#" title="#">Abstract</a>
- The Logic GateLooking at this design, there are two critical problems regarding our design
- <a href="http://openwetware.org/wiki/Biomod/2012/Tianjin/Result/YDNA" title="YDNA">Y-DNA</a>The Y-DNA was synthesized from three ssDNAs, each of which has partial complementary sequences to the other two ssDNAs.
- <a href="http://openwetware.org/wiki/Biomod/2012/Tianjin/Result/Origami" title="Origami">The Origami Amplifier</a>In this design, we focus on two essential problems.
<a href="http://openwetware.org/index.php?title=Biomod/2012/Tianjin/Result/LogicGate&action=edit">this page edit</a>
L ooking at this design, there are two critical problems regarding our design: 1. Is the activity of Cu2+ dependent DNAzyme influenced by the presence of 8-17? 2. Can the structure really lock the binding arm of 8-17? Therefore, we conduct the following experiment to verify our consumption
</html>
Module 1
Is the activity of Cuzyme influenced by the presence of 8-17?
We used PAGE to evaluate the product after cutting with the control group. The logic gate was mixed with DNAzyme buffer and annealed. Cu2+ and vitamin C were added afterwards. Different fragments were separated using PAGE to examine the composition of product. The results were compared with the PAGE of original Cuzyme and substrate []. As we can see in the control group, the upper most band is the original Cuzyme, the one next to it is the substrate, the lowest band is one of the cleaved substrate, and the other cleaved substrate are too short to appear in PAGE. As for the experiment group, the upper most band is our designed logic gate, the band next to it is the logic gate after cutting. The lowest one are the same with control group. Finally, the other two band in between may be produced by the nonspecific cleavage due to vitamin C.

After qualitative characterization, we used the fluorescence intensity to quantify the efficiency of our design.

As we can see in Figure X, the logic gate concentration dropped with the increase of reaction time. This is the first kinetics curve of Cuzyme under the existence of Cu2+ and vitamin C ever measured. The figure showed more details about the kinetics of the self-cleavage of the logic gate. From the number of logic gates that are self-cleavage, we can estimate how many 8-17 are released in the solution . This kinetics figure will help us determine the process of interaction.
Can the structure really lock the binding arm of 8-17?
In the previous section, we have demonstrated the Cu2+ activated self-cleavage can work in our new design. So the second question emerged: can this structure lock 8-17 when only Pb2+ is present?
We compared the results of adding only Pb2+ with adding Pb2+ and Cu2+ into the system, and test how many reporter left after reaction. The system with only Pb2+ is shown in the left column, and with both ions in the right column in Figure X. A band is the original design, B band is the reporter. We can see B in left column are much whiter than right. This demonstrated the tightness of our design.

As for the system, we want to know when the device can detect the concentration change, so we collected the date for this figure. From figure X, we can also see with only Pb2+, the reporter concentration remains the same. But with Pb2+ and Cu2+, the concentration dropped rapidly in the first two minutes. Because there is only one data in the first three minutes, we set to measure the precise concentration change. We conducted further experiment to gain more accurate results in the first three minutes.

Since we’ve answered all the questions about whether our design will work, we set out to characterize more of its properties under different circumstances.
Next, we characterized the self-cleavage in the same period with different temperature. As we predicted, the self-cleavage speed increased with growing temperature. But the difference is not so significant, so we assume the self-cleavage is not very sensitive to temperature. Therefore, our design can work across a wide range under room temperature.

Next, in Figure X, is the logic gate concentration change under different Cu2+ concentration. This shows even when we decrease the Cu2+ concentration, our design still works quite well.

We are also interested in the Pb2+ concentration’s influence on reporter cleavage. In Figure X, reporter change under two concentrations are investigated. When Pb2+ is 1μM, reporter concentration dropped rapidly in the first two minutes and turned slowly later. When Pb2+ is 10nM, the concentration slowly decreased. Their main difference is the first two minutes of catalysis.

Module 2
First, we set to verify the self-cleavage of the design. In Figure Xa, the gel results demonstrated that Module can undergo self-cleavage. Next, let’s take a look at the tightness of the logic gate. In Figure X, the left column is , the right one is . The lowest bands in the column represents the concentration of the reporter. We are disappointed to see that the reporter in both group has been cleaved. This showed our design can’t lock the activity of 8-17 when there is only Pb2+ in the solution. The result is the same with 2-2.
[[Image:]] <html>
<html>